Die Ebenentransformation- Punkttransformation der Originalebene auf die Bildebene

(projektive Abbildung)

[mit MathML]

         Mit Hilfe der Ebenentransformation lassen sich geometrische Gebilde wie Punkte,Geraden,Kurven durch Vorlage von 4 Punkten der Originalebene,von denen 3 nicht auf einer Geraden liegen in 4 bestimmte Lagen der Bildebene  umrechnen, was einer projektiven Abbildung entspricht.Geraden werden wieder auf Geraden abgebildet.

      

                  Koordinaten der Originalebene:  x , y

                  Koordinaten der Bildebene:  ξ , η

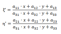
                  Die Ebenentransformationsformeln lauten:      ξ'= a 11 x+ a 12 y+ a 13 a 31 x+ a 32 y+ a 33


η'= a 21 x+ a 22 y+ a 23 a 31 x+ a 32 y+ a 33

                       Diese beiden Formeln haben 9 Parameter. Durch Kürzen mit a33 erhalten wir:

ξ= a 11 x+ a 12 y+ a 13 a 31 x+ a 32 y+1

η= a 21 x+ a 22 y+ a 23 a 31 x+ a 32 y+1
Diese Formeln enthalten 8 wesentliche Parameter, die zu ihrer Bestimmung notwendigen 8 Gleichungen können durch die Vorschrift gegeben werden, daß 4 vorgelegte Punkte, von denen nicht 3 auf einer Geraden liegen, in 4 vorgeschriebene Endlagen gelangen. Es lassen sich 8 Gleichungen aufstellen:

ξ 1 = a 11 x 1 + a 12 y 1 + a 13 a 31 x 1 + a 32 y 1 +1 ξ 2 = a 11 x 2 + a 12 y 2 + a 13 a 31 x 2 + a 32 y 2 +1 ξ 3 = a 11 x 3 + a 12 y 3 + a 13 a 31 x 3 + a 32 y 3 +1 ξ 4 = a 11 x 4 + a 12 y 4 + a 13 a 31 x 4 + a 32 y 4 +1
η 1 = a 21 x 1 + a 22 y 1 + a 23 a 31 x 1 + a 32 y 1 +1 η 2 = a 21 x 2 + a 22 y 2 + a 23 a 31 x 2 + a 32 y 2 +1 η 3 = a 21 x 3 + a 22 y 3 + a 23 a 31 x 3 + a 32 y 3 +1 η 4 = a 21 x 4 + a 22 y 4 + a 23 a 31 x 4 + a 32 y 4 +1Durch diese 8 Gleichungen lassen sich die 8 Parameter bestimmen.

Anwendungsbeispiel:
                                    Bestimmung der Abbildungsgleichungen, die das IBK-Dreieck in die McAdam-Farbtafel
                                    überführen.

Die Punkte der Abbildung: x 1 =0 y 1 =0 ξ 1 =0 η 1 =0
                                                                                 Nullpunkt bleibt
x 2 =0.1741 y 2 =0.0050     380nm ξ 2 =0.2668 η 2 =0.0111 x 3 =0.7347 y 3 =0.2653      760nm ξ 3 =0.6234 η 3 =0.3377 x 4 =0.0139 y 4 =0.7502      510nm ξ 4 =0.0046 η 4 =0.3759 Die Ebenentransformationsgleichungen lauten nach der Bestimmung der 8 Parameter:

ξ = 4 3 x 2 3 x + 4 y + 1 η = 2 y 2 3 x + 4 y + 1 Das sind die richtigen Koeffizienten für diese Ebenentransformation. Die Werte, die sich aus den vorstehenden gerundeten Koordinaten ergeben, enthält das nachfolgende Protokoll. Hierzu wurde Maple verwendet.

Protokoll der Berechnung mit Maple

Bemerkung : Falls die oberen Formeln nicht wie das folgende Bild aussieht, kann der derzeitige Browser die MathML- Darstellung nicht richtig wiedergeben
Formelgestalt.